<겨울방학 단기집중 과학세미나> 1회차 후기 - 과학적 믿음
안녕하세요. 그동안 문탁에서 공부하다가 단기집중 과학세미나를 이끌게 된 재하입니다. 그 전까지 여러 세미나들에 참여는 해보았지만 직접 이끄는 역할을 맡게 된 것은 처음인지라, 다소 정신이 없었기도 하였고, 앞에서 세미나를 주도한다는 역할이 참 어렵다는 점을 깨달았던 첫시간이었습니다. 더군다나 저를 포함하여 11명이나 신청을 해주신 덕분에 평소의 과학세미나보다도 더 북적였던 시간이었던 듯 합니다. 앞으로 잘 부탁드립니다!
(***)
이번 첫시간은 오카샤의 <과학철학> 1,2장, 장하석의 <과학, 철학을 만나다>는 1~3장까지 읽었습니다. 두 권을 동시에 나가기 때문에 세미나에서 의견을 나눌 때 다소 광범위한 범위에서 다양한 질문들이 나오지 않을까 생각했습니다만, 오히려 두 책이 비슷한 영역을 각기 다른 방식으로 풀어내며 세미나 또한 비슷한 질문들을 다양한 각도에서 접근했던 것 같습니다. <과학철학>의 경우는 과학사를 거쳐 과학적 방법론인 귀납과 연역을 간결하고 학술적으로 깊게, <과학, 철학을 만나다>는 반대로 과학사를 더 구체적으로 풀어내며 역사적으로 과학과 철학이 ‘왜’ 현재의 형태를 띠게 되었는지에 대한 쉬운 풀이를 해주었습니다. 따라서 개인적으로 <과학철학>으로 핵심 논제들을 파악한 뒤 장하석 교수님의 책을 읽으며 같은 부분에 대해서 조금 더 설명이 되었습니다 (이를테면 왜 포퍼가 그의 반증주의와 비판적인 시선을 고집하였는지 등등). 그 중 이번 후기에서는 세미나에서 중점적으로 언급되었던 과학적 방법론들에서의 믿음과 ‘고집’, 그리고 비교적 덜 언급이 되었거나 설명이 부족했을 수도 있는 오카샤 책에서의 귀납법, 베이지안 학파, 그리고 조건적 확률론에 대해서 저 스스로에게 설명도 할 겸 집중해보겠습니다.
먼저 두 책에서 공통적으로 언급이 되었던 내용 중 하나는 과학철학을 얘기하면 언급되는 포퍼의 반증주의와 쿤의 과학적 패러다임에 대한 얘기였습니다. 포퍼의 경우는 세계대전을 겪으며 과학에서 기존의 이론을 거스르는 관측결과가 나왔다면 해당 이론을 더 이상 지지하면 안 된다는 비판적인 시선을 주장하였으며 이를 자유사회의 기반으로 보았습니다. 그리고 이러한 기반에서 과학과 비과학을 구분하는 문제(demarcation problem)의 기준으로 실험/관측적으로 ‘반증’할 수 있는 가능성 (falsification)을 언급하였습니다. 반면 쿤의 경우는 오히려 비판적인 논의를 정지하며 과학자들이 자신의 이론에 대한 믿음을 고수할 때만이야말로 과학적 논의, 즉 정상과학이 들어서는 때라고 말합니다. 그 일례로 관측된 천왕성의 궤도가 기존의 뉴턴 역학의 예측에 들어맞지 않자, 뉴턴역학을 포기하는 대신 그 주위에 발견되지 않은 (추후 해왕성으로 밝혀진) 어떤 행성 이 영향을 미치고 있을 것이라고 주장한 아담스와 레버리어가 그 예시입니다. 만일 그들이 포퍼의 비판적인 시선을 가지고 곧바로 뉴턴역학에 대한 믿음을 저버렸다면 해왕성의 존재가 발견되기도 전에 역학의 판도는 이미 바뀌었을지도 모르는 일이지요. 이와같이, 기존이론이 철회되기 위해서는 단 하나의 반증보다는 여러 반증들이 함께하여 점진적으로 하나의 이론에 대한 ‘믿음’에서 새로운 이론에 대한 ‘믿음’으로 옮겨가는 경우가 과학의 역사에서는 즐비합니다. 그리고 새롭게 정립된 이론은 또다시 ‘아마도 맞을 것’이라는 ‘믿음’ 아래에서 아귀가 맞지 않는 관측들을 설명해보려 노력하는 과학자들을 동반하며, 이들은 그 안에서 그들만의 언어체계, 개념 등을 만들어냅니다. 이것이 (제가 이해한) 쿤의 패러다임 내에서의 정상과학입니다.
그러나 쿤의 역사적인 시선에서의 설명이 과학이 지금까지 어떻게 굴러왔는지는 설명하지만, 다른 한편에서는 과학이 어떻게 되어야하는지에 대한 이상을 제공하고 있지는 않아보이기도 합니다. 예시로 광전효과에 대한 논문을 내며 양자역학의 기반을 다지는 데에 결정적인 역할을 한 아인슈타인은 정작 본인은 기존의 뉴턴역학이 아주 높은 속력이나 질량에서는 옳지 않다는 상대성이론을 제시하였음에도 불구하고 끝까지 양자역학이라는 패러다임을 받아들이기를 거부하였습니다. 이러한 과학자들의 ‘고집’은 비록 하나의 과학적인 세대/패러다임을 구축하는 데에는 일조하지만 다른 한편으로는 과학적 믿음의 극단을 보여주는 것 같습니다.. 또한 이는 역으로 새로운 과학의 성장을 방해할 수도 있는 것이기도 합니다. 이러한 때에는 포퍼가 이야기한 비판적인 태도의 정신을 일부 채용할 수도 있을 듯 합니다. 그리고 이와같은 측면에서, 첫 세미나동안 이야기를 나누며 다다른 결론(?)은 과학자들의 믿음과 (반증들이 쌓였을 때 기존이론을 철회할 수 있는) 비판적인 태도 사이에서 과학적 행위에 대한 가이드라인을 제시할 수 있다는 것이었습니다. 물론 이러한 패러다임 변화의 시점이 정확히 어느지점인지, 이러한 판단이 개인에게 달려 있는 것인지, 어쩌면 그저 세대교체와 함께 이루어지는 것인지에 대한 질문들은 여전히 남아있었습니다.
그리고 과학적 믿음은 과학적인 방법론 중 귀납법에서 흄이 제시한 문제와도 맞닿아 있습니다. 귀납법의 한 종류인 simple enumerative induction (우리가 흔히 귀납법이라고 부르는)은 여러 개의 같은 상황이 반복되었을 때 해당 상황을 일반화하는 것입니다. 예를 들어 발견되는 백조가 계속해서 흰색이라면 ‘(모든) 백조는 흰색이다’라고 일반화된 문장으로 결론짓는 것처럼 말입니다. 그러나 흄은 일반화들이 ‘앞으로 나타날 상황이 지금껏 나타난 상황과 비슷할 것이다’라는 문장에 의지하고 있다고 말합니다. 그리고 그는 이와같은 과거의 사건들로 구성된 일반화가 미래의 사건들로 도약하는 행위는 논리적으로 정당화되어있지 않다고 주장합니다. 즉, ‘앞으로 나타날 상황이 지금껏 나타난 상황과 비슷할 것이다’라는 문장은 순전한 우리들의 믿음 내지는 습관에 불과하다는 것입니다. 이러한 점에서 과학적 방법론의 일부인 귀납법 또한 ‘그동안 잘 먹혀들었기 때문에 믿을만 하다’, 라는 믿음에 의지하고 있다고 볼 수도 있지 않을까요.
(***)
세미나가 2시간 밖에 하지 않는만큼, 빠르게 지나가서 이야기들을 잘 나누지 못한 지점들도 있었습니다. 이를테면 연역법에서 쓰는 전제들은 어떻게 해서 참임을 알아냈으며 그 참이 보장되는가에 대한 문제는 연역법의 타당성 (validity)은 건전성 (soundness)을 다르게 보는 데에 있습니다. 타당성의 경우는 전제들이 모두 참이라고 ‘가정’할 경우 그 결론이 반드시 참이되는 전제→결론 사이의 관계 (이를 entailment라고 합니다) 그 자체를 따지는 것이며 이것이 저자가 이야기하는 연역법입니다. 다시 말해 아래와 같은 상황은 전제들의 참/거짓 여부와 상관없이 전제들이 모두 참이면 결론 또한 반드시 참이어야 하기에, 타당한 연역법이라고 볼 수 있습니다.

이에 반해 연역법의 건전성은 ‘타당성+모든 전제들의 참’을 기준으로 삼습니다. 그러나 이 경우는 연역법 그 자체를을 올바로 썼는가에 대한 질문에 답한다기보다는 올바른 재료(전제)들을 가지고 올바르게 연역법을 썼는가에 대한 문제이기 때문에, 저자가 다음과 같이 원문에서 말하고 있는 것 같습니다 (한국 번역본 p.34).
[...] Of course, the premises of this inference are almost certainly not true-there are bound to be Frenchmen who do not like red wine. But that is not the point. What makes the inference deductive is the existence of an appropriate relation between premises and conclusion, namely that the truth of the premises guarantees the truth of the conclusion.
(***)
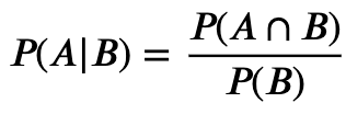
이어서 오카샤가 책에서 언급한 베이지안 학파의 조건적 확률론 (conditional probability)은 (제가 이해한 바로는) 일반적인 수학에서의 조건적 확률과 동일합니다. 이때 조건적 확률이라는 말은 특정 확률이 주어진 조건에 따라 다르게 결정될 때 사용하는 용어입니다. 즉, A가 학교에 지각할 확률은 그가 그 전날 잠을 일찍 잤는지 늦게 잤는지에 따라 달라지는 것처럼 말입니다. 따라서 ‘A를 가정하였을 때 B가 일어날 확률’을 ‘P(BㅣA)’라고 적습니다. 따라서 본문에서 P(H/e)라고 적을 때 이는 ‘e를 가정하였을 떄 H가 일어날 확률’입니다. 그리고 이러한 조건적 확률은 다음과 같은 공식을 따릅니다.

이를 본문에 나온 카드의 예시를 들어 설명하자면, P(H/e), 즉 ‘e라는 정보를 알 때 H의 확률’은 P(e) (e가 제시해주는 카드가 하트라는 사실이 제공하는 올바른 카드선택의 확률)를 일단 가정하고, 그 확률 ‘안’에서 또 P(H)와 P(e)가 동시에 존재할 확률 (카드가 하트 퀸이면서 동시에 하트일 확률)을 찾는 것입니다. 이러한 논리를 따라가다보면,
‘e라는 정보를 알 때 H의 확률’ =
‘카드가 하트 퀸이면서 동시에 하트일 확률’ 분의
‘e가 제시해주는 카드가 하트라는 사실이 제공하는 올바른 카드선택의 확률’
임을 알 수 있습니다. 이는 아래 그림에서 P(e)를 P(B) (= q+r)로, P(H∩e)를 P(A∩B) (=q)로 보면 됩니다.

그리고 이를 바탕으로 베이지안 학파는 특정 이론이 예측하는 현상이 관측을 통해 참임이 밝혀질 때, 관측을 통해 얻은 정보 (e)가 기존 이론에 대한 참의 확률 (P(H))을 조건화를 통해 상승시킨다고 주장합니다. 그것이 바로 과학자들이 과학적 귀납 안에서 관측을 통해서 특정 이론에 대한 믿음이 강화되는 것에 대한 설명이라는 말입니다.
(***)
이상으로 참 짧게 느껴졌었던 1회차 세미나 시간이었습니다. 곧 2번째 시간 때 뵙겠습니다. 감사합니다!
| 번호 | 제목 | 작성자 | 작성일 | 조회 |
| 566 |
<겨울방학 단기집중 과학세미나> 4회차 후기-벌써 마지막이라고요?
소피
|
2026.02.18
|
조회 66
|
소피 | 2026.02.18 | 66 |
| 565 |
<겨울방학 단기집중 과학세미나> 4회차 질문들
(6)
재하
|
2026.02.10
|
조회 87
|
재하 | 2026.02.10 | 87 |
| 564 |
<여신의 언어> 마지막 후기^^
(1)
요요
|
2026.02.10
|
조회 82
|
요요 | 2026.02.10 | 82 |
| 563 |
<여신의 언어> 5회차 후기
(3)
동은
|
2026.02.08
|
조회 91
|
동은 | 2026.02.08 | 91 |
| 562 |
<겨울방학 단기집중 과학세미나> 나랑, 과학철학을 만나다
(2)
나랑
|
2026.02.08
|
조회 117
|
나랑 | 2026.02.08 | 117 |
| 561 |
<겨울방학 단기집중 과학세미나> 3회차 질문들
(6)
재하
|
2026.02.03
|
조회 101
|
재하 | 2026.02.03 | 101 |
| 560 |
<겨울방학 단기집중 과학세미나> 혁명은 없다?
(2)
두루미
|
2026.02.02
|
조회 109
|
두루미 | 2026.02.02 | 109 |
| 559 |
<겨울방학 단기집중 과학세미나> 2회차 질문들
(10)
재하
|
2026.01.27
|
조회 156
|
재하 | 2026.01.27 | 156 |
| 558 |
<겨울방학 단기집중 과학세미나> 1회차 후기 - 과학적 믿음
(4)
재하
|
2026.01.27
|
조회 118
|
재하 | 2026.01.27 | 118 |
| 557 |
<여신의 언어> 4회차 후기
(6)
호수
|
2026.01.26
|
조회 132
|
호수 | 2026.01.26 | 132 |
| 556 |
[2026년 1월 맥-잡기 세미나] 인류세에서 죽음을 배우다 - 메모
(13)
웹진
|
2026.01.23
|
조회 199
|
웹진 | 2026.01.23 | 199 |
| 555 |
<여신의 언어> 3회차 후기
(4)
술리
|
2026.01.21
|
조회 136
|
술리 | 2026.01.21 | 136 |

후기인지 보충수업인지를 생각하다가 보충수업으로 여기고 조금 한가할 때 다시 읽어보기로 했습니다. 이렇게 빡빡한 글을 올리느라 후기가 늦었나봐요. 꼭 꼼꼼하게 읽어볼게요.
반반입니다 ㅎㅎ 저도 쓰다보니 어떻게 써야할지 갈팡질팡하다가 결국 둘 다 넣게 되다보니 후기가 늦었습니다 ^^
ㅎㅎ 저도 후기 올라온 거 보고 나중에 읽어야지 하다 보니.. 벌써 세미나 날 아침입니다!! 질문을 위주로 하다 보니 못다한 이야기가 많았는데, 후기 읽으며 복기해봤습니다. 저는 특히 연역법에서 전제와 결론과의 관계성에 대한 분석이 재미있었고, 평소 간과했다는 생각이 들었습니다.. 그럼, 곧 저녁때 뵙겠습니다~~
네^^ 저도 처음 접했을 때는 생각보다 헷갈렸던 기억이 있습니다. 그래도 후기를 쓰다보니 머릿속에서 더 정리가 된 것 같습니다. 곧 뵙겠습니다!!